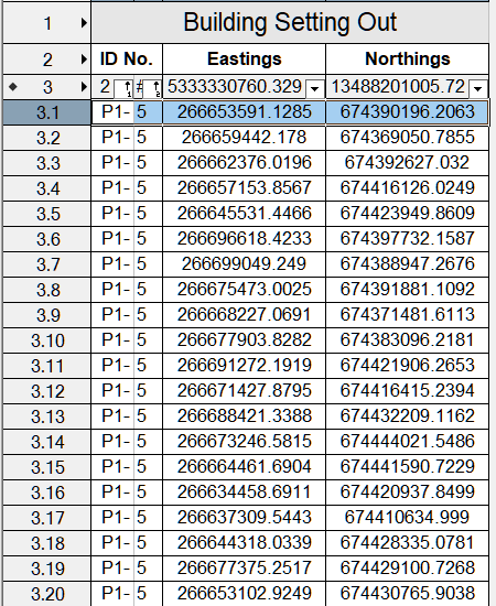
I have used worksheets to table coordinates for setting out buildings on a number of projects in the past and have imported an existing worksheet for this purpose into a new project and for some reason the worksheet appears to be recording my easting/northing values in millimeters instead of meters (or if not in millimeters it is displaying it with the decimal point in the wrong place).
The document units are set to meters and the stake objects - when set to display Coordinate Point (EN) as its label reference - show the coordinates correctly (see below).
Some additional info:
- I have tried creating a fresh worksheet from scratch and it makes no difference.
- The file has been georeferenced and the location checked against topographical survey stations and by dropping in a geoimage and everything lines up.
- The worksheet columns are formatted as 'General' - I have tried all the other relevant options and none make a change to the output.
- Currently working on VW 2024. I have also duplicated the file and tried it on VW2025 but this does not resolve the issue and as it is an active project I'd prefer not to update all the project files to 2025 at this stage anyway.
- There are referenced viewports in the file (for the individual buildings) so i can keep the file size down and work on the buildings separately. These files are in millimeters. I have tried deleting these references out to see if this resolves the issue but with no success.
I can work around this for this project by just showing the Coordinates on the drawing itself rather than tabling it in a worksheet but if this is a problem that is going to persist in versions moving forward I need a more permanent solution as quite often we have cluttered layouts with coordinates for multiple elements that really needs to be in a table with ID references at stakes for legibility.
You can post now and register later.
If you have an account, sign in now to post with your account.
Note: Your post will require moderator approval before it will be visible.
Question
DuncanR
I have used worksheets to table coordinates for setting out buildings on a number of projects in the past and have imported an existing worksheet for this purpose into a new project and for some reason the worksheet appears to be recording my easting/northing values in millimeters instead of meters (or if not in millimeters it is displaying it with the decimal point in the wrong place).
The document units are set to meters and the stake objects - when set to display Coordinate Point (EN) as its label reference - show the coordinates correctly (see below).
Some additional info:
- I have tried creating a fresh worksheet from scratch and it makes no difference.
- The file has been georeferenced and the location checked against topographical survey stations and by dropping in a geoimage and everything lines up.
- The worksheet columns are formatted as 'General' - I have tried all the other relevant options and none make a change to the output.
- Currently working on VW 2024. I have also duplicated the file and tried it on VW2025 but this does not resolve the issue and as it is an active project I'd prefer not to update all the project files to 2025 at this stage anyway.
- There are referenced viewports in the file (for the individual buildings) so i can keep the file size down and work on the buildings separately. These files are in millimeters. I have tried deleting these references out to see if this resolves the issue but with no success.
I can work around this for this project by just showing the Coordinates on the drawing itself rather than tabling it in a worksheet but if this is a problem that is going to persist in versions moving forward I need a more permanent solution as quite often we have cluttered layouts with coordinates for multiple elements that really needs to be in a table with ID references at stakes for legibility.
Link to comment
3 answers to this question
Recommended Posts
Join the conversation
You can post now and register later. If you have an account, sign in now to post with your account.
Note: Your post will require moderator approval before it will be visible.